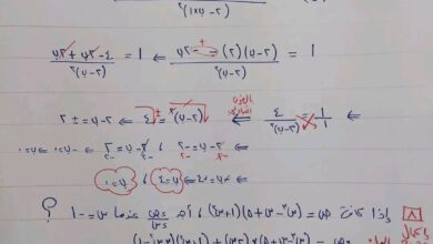
الرئيسية/توجيهي/مراجعة الليلة امتحان الرياضيات توجيهي أدبي الأسئلة المقالية توجيهي مراجعة الليلة امتحان الرياضيات توجيهي أدبي الأسئلة المقالية 23 يونيو، 20220 743 23 يونيو، 20220 743 فيسبوك تويتر لينكدإن Tumblr بينتيريست Reddit VKontakte مشاركة عبر البريد طباعة